今年会

EN
×
EN
  • 业务咨询

    中国:

    Email: marketing@acornwoodproducts.com

    业务咨询专线:400-780-8018

    (仅限服务咨询,其他事宜请拨打川沙总部电话)

    川沙总部电话: +86 (21) 5859-1500

    海外:

    +1(781)535-1428(U.S.)

    0044 7790 816 954 (Europe)

    Email:marketing@medicilon.com

在线留言×
点击切换
Pharmaceutical research
药学研究

透皮制剂体外评价

今年会在透皮给药制剂体外评价方面拥有丰富的项目经验,配备了透皮仪、低温冷冻粉碎仪、经皮失水仪以及LC-MS/MS等仪器,可在化合物筛选、新药申报、已上市化学药品药学变更、一致性评价、仿制药申报等涉及体外评价的项目提供专业而高效的服务。体外释放试验(IVRT)和体外透皮试验(IVPT)是常用于半固体制剂(乳膏剂、软膏剂及凝胶剂等)、透皮贴剂和阴道制剂质量研究的方法。
Title
皮肤给药的优势
  • 皮肤是人体最大的器官,成年人的皮肤表面积大约2m²,局部皮肤外用制剂(Topical Application)和透皮制剂(Transdermal drug delivery ,TDD)指在皮肤表面给药,药物通过皮肤各层,进入机体发挥局部或全身治疗作用的制剂,是一种非侵入性、患者依从性高的剂型,主要有夸细胞通路、细胞间通路及皮肤附属器这3种吸收途径;针对不同药物的特性和治疗目的,局部皮肤外用制剂和透皮制剂可被开发为从溶液、半固体到贴剂等不同剂型,如喷雾、凝胶、乳剂、软膏、凝胶贴剂等,以及微针、超声波导入等新型递药系统。
    皮肤给药与临床常见口服、静脉等常规给药方式相比,具有如下优势:
    1、减少药物全身暴露带来的副作用;
    2、避免肝脏的首过效应和药物在胃肠道的降解;
    3、维持恒定的有效血药浓度;
    4、给药途径既方便又具有缓释作用
    今年会皮肤局部用制剂研发平台可承接各类皮肤局部用制剂的开发过程,包括软膏剂、乳膏剂、凝胶剂等半固体制剂,也包括洗剂、搽剂等溶液剂。今年会具有丰富的透皮制剂研发经验,完善的质量体系,可满足客户的定制化需求。同时,今年会拥有半固体GMP车间,可提供临床样品生产的服务。
    透皮制剂体外评价.jpg
IVRT(体外释放)和IVPT(体外透皮试验)的选择
  • IVRT(体外释放)IVPT(体外透皮试验)
    表征制剂释放药物的性能,用于制剂的处方设计与优化体外和体内相关性评估
    对具有相同数量的有效成分和相同或相似的非活性成分组成的配方的同一性进行评估评估配方制剂中药物通过角质层的能力,以及药物在表皮层、真皮层和接收介质的分布
    比较关键生产、工艺步骤、设备及场所的改变对半固体配方制剂微观结构的影响进一步开发为半固体制剂的新分子实体的选择
    在生产和稳定性考察期间,比较批间药物释放速率的差异,用作制剂稳定性考察的质量指标不同外用半固体配方制剂(不同剂型的不同组成,如溶液剂、凝胶剂、乳膏剂、软膏剂)的渗透动力学比较
    评估仿制药与参比制剂之间的等同性,是仿制药的生物豁免的依据之一比较外用参照制剂和受试制剂中药物渗透皮肤,达到用药位点或附近位点的速率和程度
IVRT和IVPT等效性评判
  • 各国对体外释放(IVRT)等效性判断标准的比较

    地区试验设计评价项目判断标准
    FDA*扩散法
    *人工膜
    *4-6h,每小时取样
    *接受液必须能高度溶解药物
    *第一阶段:6个样品;
    *第二阶段:增加12个样品
    *上样量约200mg、1.0g/cm2
    Qn单位面积累计释放量(μg/cm2)对t的平方根绘图生成一条直线,其斜率代表释放率(USP 1724)中位释放率比值
    *累积释放量与t平方根呈线性(r2>0.90)
    *第一阶段:受试制剂和参比制剂各产生6个斜率,90%置信区间在75%~133.33%的限度范围。
    *第二阶段:受试制剂和参比制剂各增加12个斜率,共18个斜率,90%置信区间应该在75%~133.33%的限度范围。
    EMA*扩散法
    *人工膜
    *满足漏槽条件的介质,pH值稳定
    *6个点,至少每小时取样
    *常规6个样品,验证或者证明等效性12个样品
    *药物释放速率(R):累积释放量与t平方根的斜率
    *在最后采样时间累积量(A)
    *Ttag迟滞时间(如适用)
    *累积释放量与t平方根呈线性(r2>0.90)
    *R(药物释放速率)不为零
    *R和A(药物累计释放量)的90%置信区间在90~111%范围内
    *Ttag差异应在±10%范围内(如适 用)
    PMDA*桨碟法、扩散池法等
    *人工膜
    * 12次
    *24小时,至少5个点
    *pH5~7缓冲液,水-醇混合液、有机溶剂
    规定的试验时间或释放曲线达到平稳后1个时间点和同一时间点释放率一半速率的时间点,受试制剂和参比制剂的平均释放率之比*受试制剂和参比制剂的平均释放率之比应在0.8~1.2范围内
    *受试制剂释放率变异性应≤参比制剂变异性
  • 各国对体外透皮(IVPT)等效性判断标准的比较

    地区试验设计呈现的数据判断标准备注
    FDA*设盲
    *扩散池法
    *人离体皮肤
    *每个制剂至少进行4次重复给药
    1.累积渗透量(Q)-时间曲线
    2.吸收速率(J)-时间曲线
    3.最大吸收速率(Jmax)
    4.总渗透量(Atotal)
    5.皮肤滞留量
    6.时滞(Tg)如果有
    7.最大吸收速率时间(tmax)
    1.等效性参数(Jmax和Atotal)试验样品与参比制剂均值之比的可接受标准:90%置信区间:80.00%~125.00%。
    2.皮肤滞留量(药物在皮肤中的分配)单独分析
    3.物料平衡(回收率):90~110%
    4.时滞相同(±10%)
    1.在使用小规格和有限扩散药品观察到高变异性的情况下,如果临床合理的话,可以接受更宽的90%置信区间限制,最大为69.84~143.19%。
    2.回收率超过接受范围应充分说明。
    EMA*设盲
    *扩散池法
    *人离体皮肤供体不少于12,每个供体至少进行2组平行试验
    1.累积渗透量(Q)-时间曲线
    2.吸收速率(J)-时间曲线
    3.最大吸收速率(Jmax)
    4.总渗透量(Atotal)
    5.皮肤滞留量
    等效性参数(Jmax和Atotal)经对数转换后计算90%置信区间,接受标准:(给出多种统计方法)低强度和有限扩散药物产品中观察到高变异性,且如果临床证明合理,可接受最大为69.84~143.19%。
    *人离体皮肤、动物皮、人工/合成膜(特殊情况)
    *样本量不少于6
    PMDA*动物离体皮肤(各制剂6次以上)1.吸收速率(Jss)参数的变异透过率达到平稳期后的1个时间点,以及在透过率达到该时间点透过率一半时的某一时间点,试验制剂的平均透过率与标准制剂的平均透过率的比值在0.7~1.3范围内。但试验制剂的偏差应与标准制剂透过率的偏差相同或更小。从判断标准看,更适合无限上药的方式(只有无限上药的方式才体现出渗透速率达到平稳)
设备
  • 透皮仪低温冷冻粉碎仪经皮失水仪
服务内容及优势
  • 1、丰富的研发经验
    配备专业的人员及设备,对于各类外用制剂剂型(乳膏剂、软膏剂、凝胶剂、贴剂、微针等)均有丰富的研究经验,涵盖仿制药及新药,部分项目已拿生产或者临床批件;
    2、外用制剂服务范围
    不止局限于皮肤给药制剂,同时对于眼用给药、阴道给药、侵入性给药的筛选工作均有涉及,也可单独承接仿制药半固体制剂体外等效性一致性评价工作,同时拥有半固体GMP车间,可提供临床样品生产的服务;
    3、定制化服务
    可结合客户的需求,按阶段定制化服务,比如:先进行化合物成药性处方的筛选,再尝试优化及放大,配合客户非临床的研究步骤;
    4、完善的质量体系
    遵循 ICH 指南,符合 cGMP 法规,满足 NMPA、FDA 的法规及注册要求,满足 CMC 内部质量管理的要求,满足客户的要求,满足第三方认证的要求;
案例分析
  • 1、 某软膏剂1类新药--IVRT
    透皮制剂体外评价案例分析-某软膏剂1类新药IVRT.jpg            透皮制剂体外评价案例分析-某软膏剂1类新药IVRT.jpg
    释放快即线性斜率大的批次样品,单位累积释放率高,药效结果明显,IVRT对于处方筛选有一定正向指导意义,也可用于新药初步成药性筛选研究。
  • 2、 某阴道用凝胶剂--IVRT
    透皮制剂体外评价案例分析-某阴道用凝胶剂-IVRT.jpg
  • 3、 某软膏剂1类新药—IVPT
    DSC透皮制剂体外评价案例分析-某软膏剂1类新药IVPT.jpg
    新药研究过程中,对于作用于真皮层的药物,可通过IVPT中皮肤残留水平这一指标来对处方进行筛选,皮肤中活性物质残留水平的高低,可作为药效结果正向的支持;             不同处方间皮肤中活性物质残留水平有差异;            添加促渗剂,能提高活性物质在皮肤中的残留水平;            不同厂家透皮仪器之间的结果有差异,处方筛选阶段,需固定透皮仪。
  • 4、某凝胶剂仿制药—IVPT
    透皮制剂体外评价案例分析-某凝胶剂仿制药—IVPT.jpg透皮制剂体外评价案例分析-某凝胶剂仿制药—IVPT.png
    重复次数T自制R参比T/R%
    1155132117.42
    2118107110.28
    3162143113.28
    平均值N/A113.66
    SDN/A3.59
    90%置信区间下限N/A100.00
    90%置信区间上限N/A127.33
    90%置信区间(J)100.00%~127.33%
    重复次数T自制R参比T/R%
    130522501122.03
    221231956108.84
    326582579103.06
    平均值N/A111.21
    SDN/A9.76
    90%置信区间下限N/A98.96
    90%置信区间上限N/A123.46
    90%置信区间(Q)98.96%~123.46%
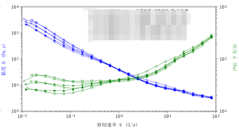
  • 5、某软膏剂仿制药—流变学、IVRT及IVPT
    流变学特性、IVPT及IVRT对比结果,基本拟合。
    案例分析-某软膏剂仿制药—流变学、IVRT及IVPT.jpg            案例分析-某软膏剂仿制药—流变学、IVRT及IVPT.jpg            案例分析-某软膏剂仿制药—流变学、IVRT及IVPT.png
相关实验室
  • 药物透皮扩散实验仪
  • LCMS
  • 流变仪
  • 真空均质乳化机
相关文章
×
搜索验证
点击切换